Search Videos
Loading...
Trigonometric Limits Example 3
Evaluating a trigonometric limit using trigonometric identities

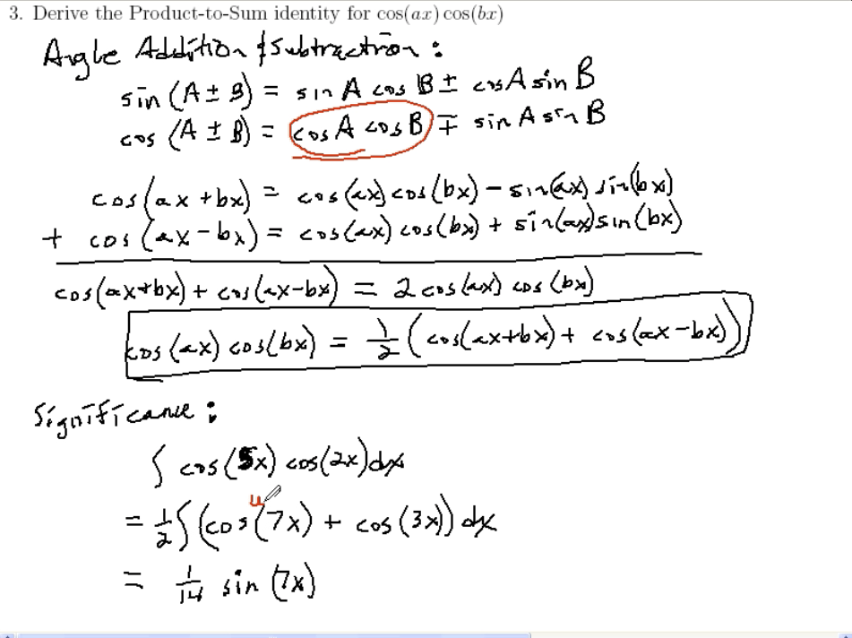
Proving Trigonometric Identities: MATH 172 Problems 3 & 4
Proving trigonometric identities useful for integration

MLC WIR 20B M151 week3 #05
Finding a Cartesian equation for a parametric curve

MLC WIR 20B M151 week2 #03
Evaluating a composition of trigonometric and inverse trigonometric functions

MLC WIR 20B M151 week10 #3
Converting parametric equations into a Cartesian equation

Integrating Powers of Sine and Cosine
Using trigonometric identities to integrate powers of sine and cosine

Integrating Powers of Sine and Cosine
Using trigonometric identities to integrate powers of sine and cosine

Integrating Powers of Secant and Tangent
Using trigonometric identities to integrate powers of secant and tangent

Integrating Powers of Secant and Tangent
Using trigonometric identities to integrate powers of secant and tangent
