Search Videos
Loading...
Approximating the Area Under a Curve Using Rectangles: MATH 142
Using rectangles to approximate the area under a curve

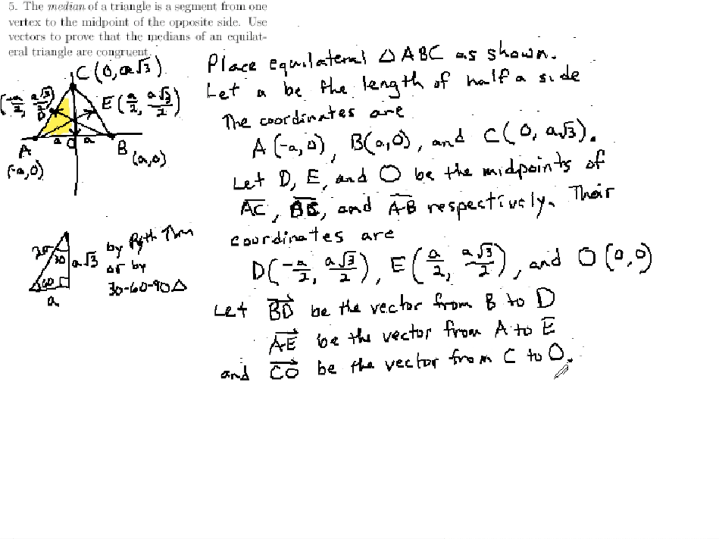
Vectors: MATH 171 Problems 5 & 6
Using vectors to prove facts about equilateral triangles and a scalar multiplication property for the dot product

Vectors: MATH 171 Problems 5 & 6
Using vectors to prove facts about equilateral triangles and a scalar multiplication property for the dot product

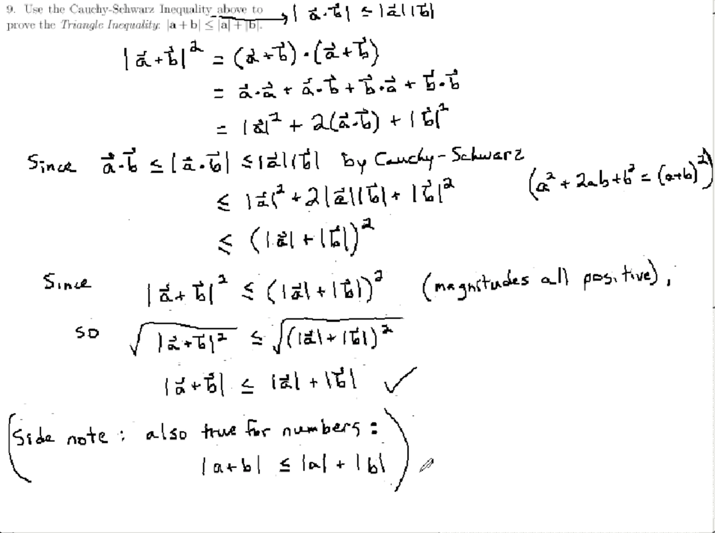
Dot Product: MATH 171 Problems 9 & 10
Proving the Triangle Inequality and a property of the midpoints of rectangles

Derivatives and Applications: MATH 151 Problems 9-15
Tangent lines to parametric equations and related rates examples

Review for the Common Exam: MATH 151 Exam 3 Review Problems 8-15
Review of limits and derivatives of inverse trigonometric functions

Review for the Common Exam: MATH 151 Exam 2 Review Problems 16-20
Derivatives of parametric equations and tangent lines

Review for the Common Exam: MATH 151 Exam 3 Review Problems 8-15
Review of limits and derivatives of inverse trigonometric functions

Inverse Trigonometric Functions: MATH 171 Problems 4-6
Properties of inverse trig functions and the derivative of arctangent
